Actualitate
Local
Eveniment-Social
Economic Local
Național
Magazin
Opinii
Informații utile
Breaking News
Breaking News
Atenție, ieșeni! Apa caldă va fi oprită tot orașul timp de șase zile pentru lucrări majore la rețeaua de termoficare
Actualitate
Local
Eveniment-Social
Economic Local
Național
Magazin
Opinii
Informații utile
Despre noi
Echipa editorială
Politică Editorială
Contact
Politica de Confidentialitate
Politica de Cookie
Ediția Digitală
Poza
1
/
6
Înapoi la articol
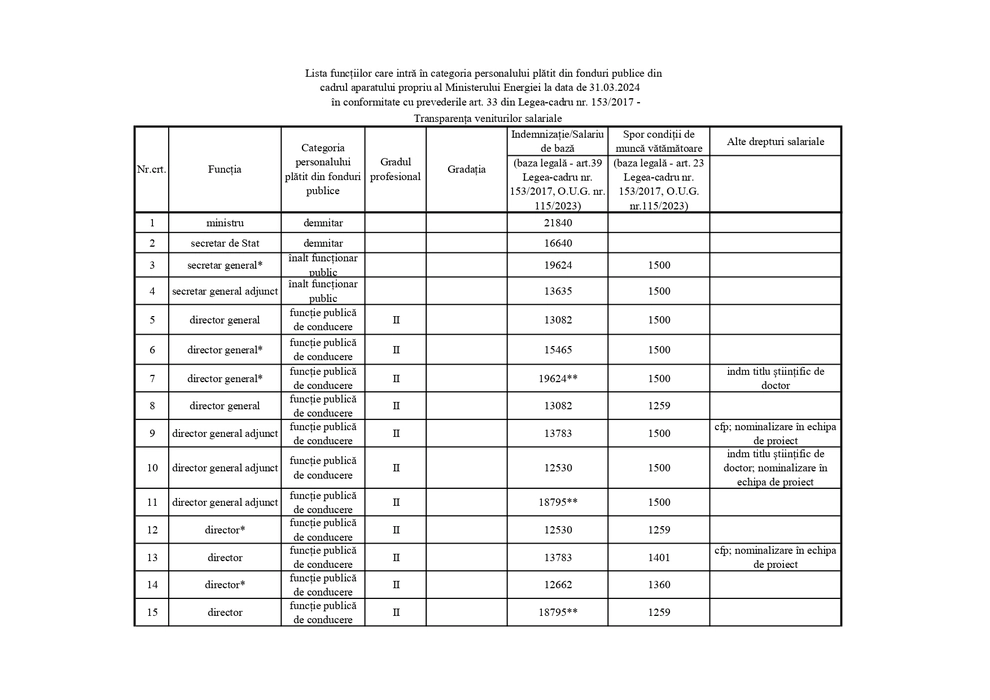
Sebastian Burduja anunță că va elimina 80 de posturi vacante din Ministerul Energiei: ”Avem salariile cele mai mici din Guvern”
Actualitate
Local
Eveniment-Social
Economic Local
Național
Magazin
Opinii
Informații utile
Despre noi
Echipa editorială
Politică Editorială
Contact
Politica de Confidentialitate
Politica de Cookie
Ediția Digitală
×
Caută