Actualitate
Local
Eveniment-Social
Economic Local
Național
Magazin
Opinii
Informații utile
Breaking News
Breaking News
Accident feroviar la Iași. Autoturism acroșat de tren la Războieni – UPDATE
Actualitate
Local
Eveniment-Social
Economic Local
Național
Magazin
Opinii
Informații utile
Despre noi
Echipa editorială
Contact
Politica de Confidentialitate
Politica de Cookie
Ediția Digitală
Poza
22
/
24
Înapoi la articol
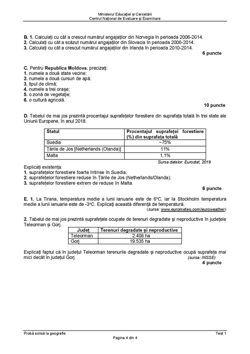
Bacalaureat 2020. Modele de subiecte care să vă ajute la pregătirea Bac-ului
Actualitate
Local
Eveniment-Social
Economic Local
Național
Magazin
Opinii
Informații utile
Despre noi
Echipa editorială
Contact
Politica de Confidentialitate
Politica de Cookie
Ediția Digitală
×
Caută